Velocity Worksheet With Answers - 2 :

 on Minggu, 05 Desember 2021  

G = 9.81 m/s2 v = g t d = ½ g t2. A relative velocity problem can be one of the most difficult problems in a physics course. A turtle with a mass of 91 kg moving at a velocity of 1.4 m/s d. A hare with a mass of 2.7 kg moving at a velocity of 7.5 m/s c. Speed and velocity questions if you're seeing this message, it means we're having trouble loading external resources on our website.

Pete is driving down 7th street. Solved Question 2 Use The Definitions Of Distance Chegg Com
Solved Question 2 Use The Definitions Of Distance Chegg Com from media.cheggcdn.com
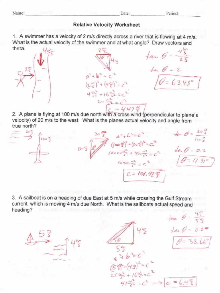
Speed and velocity questions if you're seeing this message, it means we're having trouble loading external resources on our website. A roller coaster climbs up a hill at 4 m/s and then zips down the hill at. He drives 150 meters in 18 seconds. The physics classroom removes the difficult with this easy to understand tutorial on the analysis of relative velocity situations. Planes flying in the presence of winds and boat moving in the presence of river currents are discussed in detail. G = 9.81 m/s2 v = g t d = ½ g t2. Assuming he does not speed up or slow down, what is his speed in meters per second? A relative velocity problem can be one of the most difficult problems in a physics course.

A vector is a quantity that requires both a magnitude and direction to fully describe the quantity.

A roadrunner with a mass of 1.8 kg moving at a velocity of 6.7 m/s 4. Assuming he does not speed up or slow down, what is his speed in meters per second? A relative velocity problem can be one of the most difficult problems in a physics course. A tortoise with a mass of 275 kg moving at a velocity of 0.55 m/s b. (29.1 m/s, 13702 j) a 9.00 kg mass is moving to the right with a velocity. See answer answers for relative velocity problems answer for problem # 2 you first have to assume that the truck velocity and relative ball velocity are both in the horizontal direction, since no additional information is given. Pete is driving down 7th street. For velocity, the magnitude refers to how fast the object is. Calculate the velocity in m/s after 1.10 seconds of freefall and calculate the velocity at impact in mi/hr. What will be the resulting velocity of the two cars together? Planes flying in the presence of winds and boat moving in the presence of river currents are discussed in detail. Connecting position, velocity, and acceleration. The physics classroom removes the difficult with this easy to understand tutorial on the analysis of relative velocity situations.

If i drop a watermelon from the top of one of the tower dorms at csu, and it takes 3.34. A person jogs 4.0 km in 32. Speed, velocity, and acceleration problems use your own paper, and show all work. Assuming he does not speed up or slow down, what is his speed in meters per second? A tortoise with a mass of 275 kg moving at a velocity of 0.55 m/s b.

Draw a box around your answers. 4 1 Speed 4 1 Solution T 4 0 S Speed S The Speed Of The Cheetah Is 28 Meters Per Second Pdf Free Download
4 1 Speed 4 1 Solution T 4 0 S Speed S The Speed Of The Cheetah Is 28 Meters Per Second Pdf Free Download from docplayer.net
What will be the resulting velocity of the two cars together? If i drop a watermelon from the top of one of the tower dorms at csu, and it takes 3.34. Speed, velocity, and acceleration problems use your own paper, and show all work. A relative velocity problem can be one of the most difficult problems in a physics course. A 1250 kg car is moving down the highway with a velocity of 32.0 m/s when it bumps into the car ahead of it which has a mass of 875 kg and a velocity of 25.0 m/s. Show the formula used, the setup, and the answer with the correct units. Speed and velocity questions if you're seeing this message, it means we're having trouble loading external resources on our website. A turtle with a mass of 91 kg moving at a velocity of 1.4 m/s d.

He drives 150 meters in 18 seconds.

G = 9.81 m/s2 v = g t d = ½ g t2. He drives 150 meters in 18 seconds. Speed, velocity, and acceleration problems use your own paper, and show all work. (29.1 m/s, 13702 j) a 9.00 kg mass is moving to the right with a velocity. A vector is a quantity that requires both a magnitude and direction to fully describe the quantity. A roller coaster climbs up a hill at 4 m/s and then zips down the hill at. 16.09.2021 · constant velocity is a vector. What will be the resulting velocity of the two cars together? Assuming he does not speed up or slow down, what is his speed in meters per second? A roadrunner with a mass of 1.8 kg moving at a velocity of 6.7 m/s 4. Planes flying in the presence of winds and boat moving in the presence of river currents are discussed in detail. Speed and velocity questions if you're seeing this message, it means we're having trouble loading external resources on our website. A turtle with a mass of 91 kg moving at a velocity of 1.4 m/s d.

This is the currently selected item. What will be the resulting velocity of the two cars together? A 1250 kg car is moving down the highway with a velocity of 32.0 m/s when it bumps into the car ahead of it which has a mass of 875 kg and a velocity of 25.0 m/s. Use the speed formula to calculate the answers to the following questions.be sure to show your work for each problem (write the formula, numbers with correct units, and the answer with G = 9.81 m/s2 v = g t d = ½ g t2.

Use the speed formula to calculate the answers to the following questions.be sure to show your work for each problem (write the formula, numbers with correct units, and the answer with Gravity Free Fall And Terminal Velocity Grades 11 12 Free Printable Tests And Worksheets Helpteaching Com
Gravity Free Fall And Terminal Velocity Grades 11 12 Free Printable Tests And Worksheets Helpteaching Com from worksheets.helpteaching.com
16.09.2021 · constant velocity is a vector. Assuming he does not speed up or slow down, what is his speed in meters per second? (29.1 m/s, 13702 j) a 9.00 kg mass is moving to the right with a velocity. A tortoise with a mass of 275 kg moving at a velocity of 0.55 m/s b. He drives 150 meters in 18 seconds. Calculate the velocity in m/s after 1.10 seconds of freefall and calculate the velocity at impact in mi/hr. Draw a box around your answers. A roadrunner with a mass of 1.8 kg moving at a velocity of 6.7 m/s 4.

(29.1 m/s, 13702 j) a 9.00 kg mass is moving to the right with a velocity.

A 1250 kg car is moving down the highway with a velocity of 32.0 m/s when it bumps into the car ahead of it which has a mass of 875 kg and a velocity of 25.0 m/s. A hare with a mass of 2.7 kg moving at a velocity of 7.5 m/s c. Planes flying in the presence of winds and boat moving in the presence of river currents are discussed in detail. A vector is a quantity that requires both a magnitude and direction to fully describe the quantity. After the collision, the two cars stick together. Calculate the velocity in m/s after 1.10 seconds of freefall and calculate the velocity at impact in mi/hr. A person jogs 4.0 km in 32. Speed and velocity questions if you're seeing this message, it means we're having trouble loading external resources on our website. What will be the resulting velocity of the two cars together? Pete is driving down 7th street. A roadrunner with a mass of 1.8 kg moving at a velocity of 6.7 m/s 4. Use the speed formula to calculate the answers to the following questions.be sure to show your work for each problem (write the formula, numbers with correct units, and the answer with He drives 150 meters in 18 seconds.

Velocity Worksheet With Answers - 2 :. Use the speed formula to calculate the answers to the following questions.be sure to show your work for each problem (write the formula, numbers with correct units, and the answer with The physics classroom removes the difficult with this easy to understand tutorial on the analysis of relative velocity situations. (29.1 m/s, 13702 j) a 9.00 kg mass is moving to the right with a velocity. Calculate the velocity in m/s after 1.10 seconds of freefall and calculate the velocity at impact in mi/hr. Planes flying in the presence of winds and boat moving in the presence of river currents are discussed in detail.



Tidak ada komentar:

Posting Komentar

J-Theme